8.30.2016

Các mô hình xây dựng liên kết hiệu quả cho website

  • Xây dựng liên kết là một quá trình quan trọng trong chiến lược Seo nói chung và Seo offpage nói riêng.
  • Vậy làm sao để có thể xây dựng một mô hình liên kết có hiệu quả cho site của bạn. Đó là một câu hỏi mà không phải ai cũng có thể trả lời được.
  • Hiện nay hầu hết các seoer đều sử dụng các nguồn có sẳn để tạo backlink, tạo blog free, chèn link trong bài viết, tạo chữ ký ở các diễn đàn, chia sẽ link trên mạng xã hội, comment ở các blog có PR cao,....Nhưng giá trị của các backlink này có thể là không có nhiều.
  • Vậy làm sao để có thể sử dụng các nguồn này để làm cho các liên kết có hiệu quả hơn. Đó chính là việc sắp xếp backlink theo một mô hình hợp lý để có thể thu được một số hiệu quả tốt hơn. Tạo thêm sức mạnh cho các liên kết mà không sợ bị google đánh giá thấp hay bị những hình phạt của google.
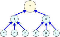
1. Liên kết bánh xe (Link Wheel
lien-ket-banh-xe.png ​
  • Cấu trúc của một bánh xe liên kết với một trung tâm và tám trang vệ tinh
  • Mỗi trang vệ tinh sẽ liên kết đến mục tiêu liên kết Z và một trang vệ tinh khác
  • Mỗi trang vệ tinh có ít nhất một backlink
  • Các trang vệ tinh được liên kết trong một vòng tròn khép kín
  • Site vệ tinh được nhận 1 liên kết từ Site vệ tinh
2. Liên kết Kim tự tháp (Link Pyramid) 

lien-ket-kim-tu-thap.png ​
  • Cấu trúc của một liên kết kim tự tháp 3 tầng với 8 vệ tinh.
  • Trang vệ tinh nhận liên kết từ các vệ tinh khác và điều hướng các sức mạnh đó đến site mục tiêu nhận liên kết. Ưu điểm: có thể thực hiện các hành vi spam backlink khá tốt mà không bị phát hiện.
  • Site mục tiêu chỉ nhận một số ít backlink từ các site vệ tinh ở tầng dưới nhưng đó là liên kết chất lượng
  • Các liên kết sẽ giảm chất lượng theo các tầng về mặt lý thuyết
3.Liên kết web (Link web)
lien-ket-giua-cac-web-page.png ​
  • Cấu trúc của một trang web liên kết với một trang mục tiêu và tám trang truyền hình vệ tinh
  • Mỗi trang vệ tinh được liên kết đến các trang mục tiêu Z và các trang khác. Các nút giao liên kết sẽ được tăng cường sức mạnh với số lượng nhiều hơn.
  • Mạng liên kết hoàn toàn mở
  • Tăng cường sức mạnh cho các mục tiêu
4. Liên kết sao (Link Star)

lien-ket-sao.png ​
  • Cấu trúc của các site liên kết đến site mục tiêu. Không có sự liên kết đến một site thứ 3.
  • Mổi trang vệ tinh sẽ liên kết trực tiếp đến các trang mục tiêu. Hầu hết các seoer hiện nay đều sử dụng hình thức này. Vì nó có thể dể làm nhất và là cách tận dụng sức mạnh của backlink nhất về các site mục tiêu.
  • Các mục tiêu liên kết sẽ nhận các liên kết từ các site vệ tinh
  • Mổi backlink được truyền về đều phải phân tích để có thể nhận được các liên kết chất lượng
5.Chuỗi liên kết (Link Chain)

chuoi-lien-ket-chain.png ​
  • Cấu trúc của một chuỗi liên kết với một trung tâm và tám pges vệ tinh
  • Đây được xem như là một mô hình Link Wheel thứ hai. Nhưng trang vệ tinh cuối cùng chỉ linkting về site mục tiêu.
  • Các trang vệ tinh được nhận một backlink chỉ trừ trang bắt đầu.
  • Các trang vệ tinh được kết nối với nhau nhưng không thực hiện đúng một vòng tròn.
  • Trang mục tiêu liên kết sẽ nhận được 1 backlink từ các site vệ tinh
6. Link Wheel đôi (Double Link Wheel)
chuoi-lien-ket-qua-lai-gap-doi.png ​
  • Cấu trúc của một bánh xe liên kết liên kết đôi với một trung tâm Z và tám trang truyền hình vệ tinh A - H
  • Mỗi trang vệ tinh sẽ để liên kết tới các trang mục tiêu, trang vệ tinh tiếp theo và một trang vệ tinh trước đó.
  • Mỗi trang vệ tinh được hai liên kết từ mạng lưới liên kết
  • Các liên kết vệ tinh sẽ được sắp xếp theo một vòng tròn khép kín
  • Các mục tiêu liên kết được một backlink từ mỗi trang vệ tinh
Bài viết này chỉ mang tính giới thiệu về các mô hình xây dựng liên kết, Nó có thể đem lại hiệu quả cho các bạn nếu biết sử dụng hợp lý. Không phải mô hình nào cũng có thể áp dụng được vào một website.(Nếu có cơ hội, thì tôi sẽ trình bày sâu hơn về những đặc điểm và cách làm thế nào để xây dựng những mô hình liên kết được nhắc đến trong bài có hiệu quả ở những bài viết sau)

Nguồn: cungseo.edu.vn 

Không có nhận xét nào:

Đăng nhận xét